L 4.1.2. (КубГУ, ФПМ, 1993 г.) Два велосипедиста выехали одновременно навстречу друг другу из пунктов А и В. Каждый едет с постоянной скоростью без остановок и, приехав в конечный пункт, тут же поворачивают обратно. Вторая встреча у них состоялась после того, как первый побывал в пункте В, а второй в А. После второй встречи первый прибыл в А через час, а второй в В через 6 часов. Найти время, затраченное каждым велосипедистом на поездку, если скорость первого на 10 км/ч больше скорости второго.

Ответ: 10 ч, 15 ч.

4.1.3. Два пешехода вышли одновременно из пунктов А и В навстречу друг другу. Когда первый прошел половину пути, второму до конца пути оставалось 24 км. Когда второй прошел половину пути, первому до конца пути оставалось 15 км. Сколько километров останется пройти второму пешеходу до А после того, как первый придет в В?

Ответ: 8 км.

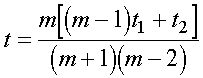
4.1.4. (КубГУ, матем., 1973 г.) Из пунктов A и B навстречу друг другу выехали мотоциклист и велосипедист. Мотоциклист выехал на t1 часов позже, чем велосипедист, но едет в m раз быстрее его. Доехав до B, мотоциклист сразу же повернул обратно и прибыл в A на t2 часов раньше велосипедиста. Через сколько времени после своего выезда велосипедист встретил мотоциклиста?

Ответ:

.

 

4.1.5. (КубГУ, матем., 1973 г.) От A до B S километров. Из A в B вылетел вертолет, а через t часов – самолет. Он догнал вертолет в d километрах от A, долетел до B, сразу же повернул обратно, в d километрах от B встретил вертолет и вернулся в A позднее, чем вертолет прибыл в B. На сколько раньше вертолет прибыл в B, чем самолет вернулся в A.

Ответ:

.

 

4.1.6. (КубГУ, матем., 1980 г.) Из двух городов А и В одновременно вышли навстречу друг другу два пешехода. Когда они встретились, то оказалось, что первому пешеходу потребуется ещё 4 часа 30 минут, чтобы дойти до города В, а второму, чтобы дойти до города А, требуется ещё 2 часа. Определить скорости пешеходов, если расстояние между городами А и В равно 30 км.

Ответ: 4 км/ч и 6 км/ч.

4.1.7. (КубГУ матем., 1980 г.) Два туриста идут друг другу навстречу – один из пункта А, другой из пункта В. Первый вышел из А на 6 часов позже, чем второй из пункта В и при встрече оказалось, что он прошел на 12 км меньше второго. Продолжая путь с той же скоростью, первый приходит в В через 8 часов, а второй в А – через 9 часов после встречи. Определить скорости туристов.

Ответ: 6 км/ч, 4 км/ч.

4.1.8. (КубГУ, матем., 1980 г.) Из двух городов вышли одновременно навстречу друг другу два поезда: скорый и пассажирский. Первый поезд за 2 и 1/6 часа проходил 2/9 всего расстояния между городами, а второй за 2,6 часа – 1/6 этого расстояния. С какой скоростью шел каждый поезд, если до момента встречи второй поезд прошел 300 км?

Ответ: 80 км/ч, 50 км/ч.

4.1.9. (КубГУ, матем., 1980 г.) Из города А в город С вышли два поезда: один в 10 часов утра со скоростью 53,2 км/ч, а другой в 16 часов со скоростью 66,5 км/ч. Оба пришли в город С одновременно. На сколько часов раньше второго прошел через станцию В первый поезд, если станция В находится ближе к городу А, чем к городу С на 478,8 км?

Ответ: 3,9 ч.

4.1.10. (КубГУ, матем., 1980 г.) Два велосипедиста выехали одновременно из пунктов А и В навстречу друг другу. Через 4 часа после встречи велосипедист, выехавший из, А прибыл в В, а через 9 часов после встречи второй велосипедист прибыл в А. Сколько часов был в пути каждый из них?

Ответ: 10 ч и 15 ч.

J