Пример
4.1.7. (КубГУ, физич., 1971 г.)Пристань
A находится от пристани B на расстоянии 350 км вниз по течению. Моторная лодка совершает рейс от A до B и обратно, не задерживаясь в B за 24 часа. В один из рейсов, возвращаясь из B в A, лодка потерпела аварию на расстоянии 105 км от A, что вызвало задержку лодки на один час. В результате аварии скорость лодки уменьшилась вдвое, и путь от B до B был пройден за такое время, как и путь от A до B. Найти скорость лодки в стоячей воде и скорость течения реки.Решение:
|
Пусть V1 – скорость лодки в стоячей воде, а V2 – скорость реки. |
|
Тогда при обычном движении имеет место уравнение:
|
Условия задачи |
Уравнение |
|
Моторная лодка совершает рейс от A до B и обратно, не задерживаясь в B за 24 часа. |
|
В том рейсе, когда произошла авария ситуация изменилась так, что скорость движения лодки
|
после аварии составила |
|
, а время на оставшийся путь равно |
|
|
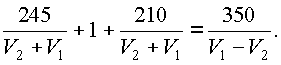
В один из рейсов, возвращаясь из B в A, лодка потерпела аварию на расстоянии 105 км от A, что вызвало задержку лодки на один час. В результате аварии скорость лодки уменьшилась вдвое, и путь от B до A был пройден за такое время, как и путь от A до B. (Предполагается, что во время задержки лодка стоит на месте.) |
|
|
|
|
Итак, приходим к системе уравнений |
|
Откуда после несложных преобразований получаем
|
|
км/ч. |