Пример
4.1.4. Из пунктов А и В выехали одновременно навстречу друг другу мотоциклист и велосипедист. Они встретились на расстоянии 4 км от В, а в момент прибытия мотоциклиста в В велосипедист находился в 15 км от А. Определить расстояние от А до В (скорость мотоциклиста больше скорости велосипедиста и эти скорости постоянны).Решение:
Простая и полезная модель задачи задается графиками равномерного движения в системе координат “время”(t – в часах) по оси абсцисс, “перемещение”(x – в км) по оси ординат.|
Пусть AD–график движения мотоциклиста, BF– график движения велосипедиста, Е – точка встречи. Тогда ВС=4, AH – время, за которое мотоциклист прибыл в В, следовательно, FH=15. |
|
|
Заметим, что |
|
подобен |
|
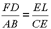
, следовательно, |
|
, а |
|
|
подобен |
|
, откуда |
|
|
Пусть |
|
, тогда |
|
, |
|
. Таким образом, приходим |
к уравнению

|
Решая полученное уравнение, находим корни |
|
Учитывая, что |
|
|
, приходим к ответу. |
|
Ответ: |
|
км. |