Пример
4.5.1. Имеются два слитка сплавов меди и олова. Первый весит 3 кг и содержит 40 % меди, второй весит 7 кг и содержит 30 % меди. Какого веса нужно взять куски этих слитков, чтобы после их совместной переплавки получить 8 кг сплава, содержащего r% меди? Найти все значения r, при которых задача имеет решение.Решение:
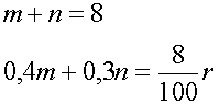
Пусть m и n – веса кусков, взятых от первого и второго сплавов соответственно. Тогда ясно, что|
Условия задачи |
Уравнения |
|
Какого веса нужно взять куски этих слитков, чтобы после их совместной переплавки получить 8 кг сплава, содержащего |
|
Приходим к системе

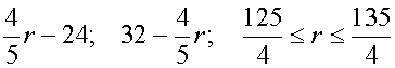
Из последних двух неравенств системы получаем оценки для
r
|
Ответ: |
|
. |