Пример
4.3.1. (КубГУ, физич., 1971 г.) Вкладчику на положенные в банк деньги начислили через месяц 15 тысяч рублей процентных денег. Не взяв их, а добавив еще 85 тысяч рублей, он оставил все деньги еще на месяц. По истечении второго срока вклад вместе с процентными начислениями составил 420 тысяч рублей. Какая сумма была положена первоначально?Решение:
Пусть первоначально в банке находилось S тыс. руб. Ясно, что S >15. Тогда относительный прирост за месяц составил 15 / S. После добавления в банке оказалась сумма S+100 тысяч рублей.|
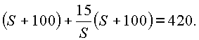
И по истечению второго срока сумма вклада вместе с процентами составила |
|
тысяч рублей, что по условию задачи равно 420 тыс. руб. Откуда получаем уравнение

|
Далее, после простейших преобразований, имеем |
|
Откуда, т.к.
S > 15, получаем S = 300.Ответ: 300 тыс. руб.