Пример
4.3.2.Из полного бака, содержащего 729 литров кислоты, отлили а литров и добавили воды. После тщательного перемешивания отлили а литров раствора и снова долили воды. После того как процедура была повторена 6 раз, раствор в баке содержал 64 л кислоты. Найти величину а.Решение:
Проследим схему изменения содержания кислоты в растворе. Первоначально в баке находилось|
729 л кислоты. Отлили а л кислоты, после чего осталось |
|
л кислоты |
||||||||||||||||||
|
После добавления воды доля кислоты составила |
|
. При повторении |
||||||||||||||||||
|
процедуры, отлили |
|
л кислоты, при этом осталось |
|
л кислоты. |
||||||||||||||||
|
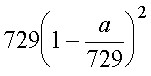
После следующего добавления воды доля кислоты составила |
|
, а следовательно, после |
||||||||||||||||||
|
ещё одного повторения кислоты останется |
|
л. |
||||||||||||||||||
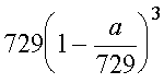
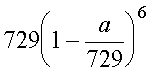
|
Аналогично после повторения процедуры 6 раз в баке останется |
|
л кислоты, что |
||||||||||||||||||
|
составляет 64 л. Таким образом, приходим к уравнению |
|
|||||||||||||||||||
Откуда, после очевидных преобразований, получаем
a = 243 л.Ответ:
a = 243 л.