Пример
4.3.3. Комиссионный магазин продал сданную на продажу вещь со скидкой 12 % от первоначально назначенной цены и получил при этом 10 % прибыли. Сколько процентов прибыли первоначально предполагал получить магазин?Решение:
Пусть x рублей – первоначальная цена, y рублей – сумма, подлежащая выплате клиенту магазина.|
Тогда процент предполагаемой прибыли составляет |
|
. Однако первоначальная цена |
|||
|
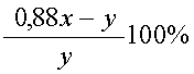
была снижена на 12 % и составила 0,88 x рублей, при этом магазин получил прибыль 0,88x-y |
рублей, |
||||
|
т.е. |
|
процентов прибыли, что по условию задачи равно 10 %. Откуда следует |
|||
уравнение

Таким образом, магазин предполагал получить прибыль 25 %.
Ответ: 25 %.