Введение:
Понятие и формулы, используемые при решении задач на проценты
Пусть S – некоторая величина, зависящая от времени
t, в начальный момент равная S0. Пусть также через время t1 эта величина достигает значение S1. Тогда разность S1 - S0 назовем абсолютным приростом S за время t1,|
отношение |
|
– относительным приростом за это время, |
|
а число |
|
– процентным приростом. |
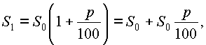
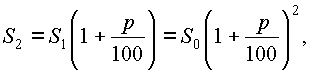
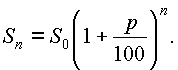
Из последнего соотношения легко получается следующая формула

позволяющая по известным
S0 и p находить S1, т.е. значение S в момент t1.Аналогично, если процентный прирост остается неизменным, то в момент
t2 = 2t1
в момент
t3 = 3t1
а в момент
nt1
Если же на каждом этапе
tn - tn-1 = t1 процентный прирост составляет pn %, то последняя формула приобретает вид