Пример
4.2.1. (КубГУ, эконом., 1989 г.)Для прокладки траншеи выделено два экскаватора разных типов. Время, необходимое первому экскаватору для самостоятельной прокладки траншеи, на 3 часа меньше времени, необходимого второму экскаватору для самостоятельной прокладки траншеи. Сумма этих
|
времен в |
|
раза больше времени, необходимого для прокладки траншеи при |
совместной работе двух экскаваторов. Определить, сколько времени необходимо каждому экскаватору для самостоятельной прокладки траншеи.
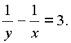
Решение: Примем длину траншеи за 1, производительность (т.е. количество проложенных за 1 час метров траншеи) первого экскаватора обозначим через
x, а второго через y. Тогда приходим к системе уравнений:|
Условия задачи |
Уравнения |
|
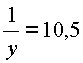
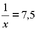
Время, необходимое первому экскаватору для самостоятельной прокладки траншеи, на 3 часа меньше времени, необходимого второму экскаватору для самостоятельной прокладки траншеи |
|
|
Сумма этих времен в |
|

|
Обозначим через t |
отношение |
|
Тогда, как видно из первого уравнения, |
|
, |
||
|
т.е. |
|
, следовательно, из второго уравнения получаем: |
|||||

Подставляя теперь это соотношение в первое уравнение системы, после простейших
|
преобразований находим |
|
часов, а |
|
часов. |
Ответ: 7 ч 30 мин; 10 ч 30 мин.