Пример
4.2.3. Два трактора должны совместно вспахать поле. Если бы производительность второго трактора повысилась вдвое, то время, необходимое для выполнения работы, уменьшилось бы на 2/15 времени, необходимого для того, чтобы первый трактор вспахал всё поле. Какой из тракторов имеет производительность выше и во сколько раз, если известно, что каждый трактор вспашет не менее 1/3 всей площади.Решение:
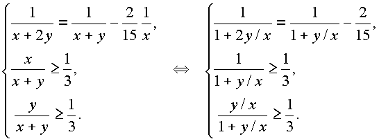
Положим, что поле имеет площадь равную 1, x – производительность 1-го трактора, y – производительность второго. Нам необходимо определить значение отношения x/y.Для составления системы воспользуемся таблицей
:|
Условия задачи |
Уравнения и неравенства |
|
Если бы производительность второго трактора повысилась вдвое, то время, необходимое для выполнения работы, уменьшилось бы на 2/15 времени, необходимого для того, чтобы первый трактор вспахал всё поле |
|
|
Известно, что каждый трактор вспашет не менее 1/3 всей площади |
|

Откуда, решая первое уравнение системы относительно
t = y/x получаем: t1 = 2, t2 = 1/4. Однако неравенствам системы удовлетворяет только первый корень. Таким образом, находим y = 2x.Ответ: производительность второго трактора выше первого в два раза.