Пример
4.2.4. Три экскаватора получили задание вырыть по котловану: первый и второй – емкостью по 800 м3, а третий – емкостью 400 м3. Первый и второй экскаваторы вместе вынимают за час грунта втрое больше, чем третий. Первый и третий экскаваторы начали работу одновременно, а второй – в тот момент, когда первый вынул уже 300 м3 грунта. Когда третий экскаватор выполнил 2/3 своей работы, второй вынул 100 м3 грунта. Первым выполнил свое задание третий экскаватор. Сколько кубических метров грунта вынул первый экскаватор к моменту, когда третий закончил рыть свой котлован?Решение:
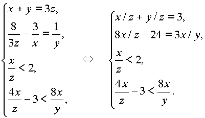
Пусть x, y, z м3/ч – производительность 1-го, 2-го, 3-го экскаваторов соответственно. Тогда третий экскаватор закончит рыть котлован за время 400/z часов. Следовательно, искомое количество кубических метров грунта S равно 400/z.Выпишем систему уравнений и неравенств, определяемую условиями задачи.
|
Условия задачи |
Уравнения |
|
Первый и второй экскаваторы вместе вынимают за час грунта втрое больше, чем третий |
|
|
Первый и третий экскаваторы начали работу одновременно, а второй – в тот момент, когда первый вынул уже 300 м 3 грунта, следовательно, он начал работать на 300/x позже первого и третьего |
|
|
Когда третий экскаватор выполнил 2/3 своей работы, второй вынул 100 м 3 грунта |
|
|
Первым выполнил свое задание третий экскаватор |
|

Из первых двух уравнений системы после замены
u = x/z, v = y/z, x/y = u/v, проделав простейшие преобразования, легко находим корни u1 = 3/2, v1 = 3/2 и u2 = 9/4, v2 = 3/4. Однако неравенствам системы удовлетворяет лишь первая пара корней u1 = 3/2, v1 = 3/2. Таким образом, S = 400u = 600 м3.Ответ: 600 м
3.