Пример
4.2.5 Бак имеет форму прямоугольного параллелепипеда. К нему подведены три трубы: одна сверху, одна снизу, одна – в центре боковой грани. В трубу сверху вода вливается, а через две остальные выливается. Если открыть только нижнюю трубу, то полный бак становится пустым за 8 часов. Если открыть и нижнюю, и боковую трубы, то полный бак опустошается за 7 часов. Если же в пустом баке открыть все три трубы, то он наполняется за 5 часов 24 минуты. За какое время заполнится пустой бак, если открыть только верхнюю трубу?Решение:
Пусть x – скорость, с которой вода вливается в бак через верхнюю трубу, т.е. количество кубических единиц воды, протекающих через верхнюю трубу в течение одного часа. И пусть y и|
Условия задачи |
Уравнения |
|
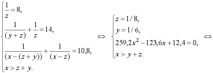
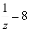
Если открыть только нижнюю трубу, то полный бак становится пустым за 8 часов |
|
|
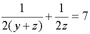
Если открыть и нижнюю, и боковую трубы, то полный бак опустошается за 7 часов |
|
|
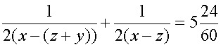
Если же в пустом баке открыть все три трубы, то он наполняется за 5 часов 24 минуты |
|
|
При этом ясно, что для того, чтобы в последнем случае бак наполнялся, необходимо чтобы через верхнюю трубу воды вливалось больше, чем через нижнюю и боковую за тоже время выливалось |
|

|
|
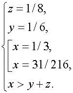
Заметим, что x=31/216 не удовлетворяет последнему неравенству системы, а следовательно, искомым решением будет лишь x = 1/3. |
Ответ: если открыть только верхнюю трубу, пустой бак наполнится за три дня.