Пример
4.2.6. Несколько человек взялись сделать определённую работу и если бы работали вместе, то закончили бы работу за 8 часов. Однако они приступали к работе по очереди через равные промежутки времени и каждый продолжал работу до её окончания. Последняя часть работы (начиная с момента, когда приступил к работе последний рабочий) продолжалась только половину указанного выше промежутка времени. Сколько времени продолжалась работа, если первый приступивший к работе проработал в 7 раз больше, чем последний.Решение:
Пусть x – производительность каждого рабочего, n – количество людей, t – промежуток времени, через который они приступали к работе один за другим. Общий объём работы примем за единицу. Тогда tx – объем работы, выполненной одним человеком за время t. Составим схему выполнения работы в том случае, когда они приступали к работе один за другим:
|
Условия задачи |
Уравнения |
|
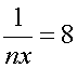
Если бы рабочие работали вместе, то закончили бы работу за 8 часов |
|
|
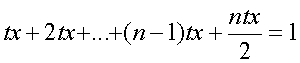
Они приступали к работе один за другим через равные промежутки времени, и каждый продолжал работу до её окончания. Последняя часть работы (начиная с момента, когда приступил к работе последний рабочий) продолжалась только половину указанного выше промежутка времени |
|
|
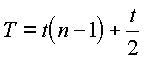
Первый приступивший к работе проработал в 7 раз больше, чем последний |
|
|
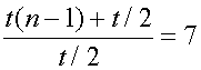
Заметим, что по условию задачи нам необходимо найти время |
|
. |
Таким образом, получаем:

Теперь из первого и второго уравнений, после несложных преобразований, вытекает:

|
Воспользовавшись третьим уравнением системы, имеем |
|
Следовательно,
.
Ответ: 14 дней.