ПРИМЕР 7.2.3. Решить уравнение

sin2x + cos2x = 2 sin3x

Решение: Умножив обе части уравнения на 2/2, будем иметь

2/2 sin2x + 2/2 cos2x = 2/2 2 sin3x,

cos(π /4-2x) = sin3x,

cos(π /4-2x) – sin3x = 0

Поскольку cos(π /2-x) = sinx, запишем это уравнение в виде

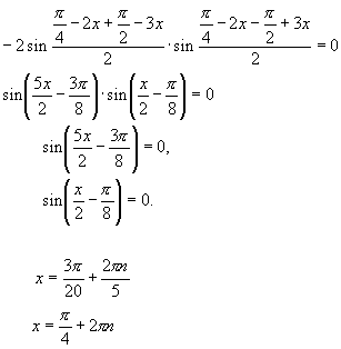
cos(π /4-2x) - cos(π /2-3x) = 0

Преобразовав разность косинусов в произведение, получим




 

ОТВЕТ: x1=π /20(8n+3); x2=π/4(8n+1), nZ.

справка  меню