Метод универсальной тригонометрической подстановки.

Тригонометрическое уравнение вида

с помощью универсальной тригонометрической подстановки

 может быть сведено к уравнению относительно неизвестного

 

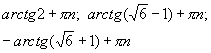
7.3.1. 5sin2x-5cos2x=tgx+5

 

 

РЕШЕНИЕ

 

Список тригонометрических формул               Содержание главы