В данном примере проиллюстрировано решение уравнений с использованием тригонометрических преобразований.
ПРИМЕР 1
:![]()
РЕШЕНИЕ:
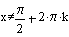
наложим на выражение под корнем условие
![]()
![]()
![]()
получаем выражение
![]()
![]()
![]()
проведем пере обозначения
![]()
тогда получим
![]()
![]()
![]()
![]()
![]()
![]()
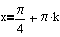
x
удовлетворяет условиямт.е. удовлетворяет требуемым условиям
Список тригонометрических формул Содержание главы