Пример 1
:Найти решения уравнения удовлетворяющие
условию ![]()
![]()
Решение:
для того чтобы можно было использовать ф-лу
sin суммы 2-х углов разделим данное уравнение на 2, получим:
![]()
![]()
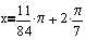
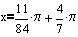
Выберем решения удовлетворяющие условию
![]()

![]()
Ответ: