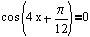
Пример 2
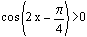
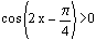
Найти решения уравнения удовлетворяющие условию
![]()
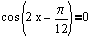
![]()
Решение:
правую часть разложим по ф-ле половинного угла

а выражение в скобках преобразуем по методу введения дополнительного угла, тогда
![]()
|
|
|
|
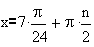
но

тогда, чтобы первая серия корней лежала в этом промежутке достаточно,чтобы
![]()
следовательно
Далее, для второй серии корней
, следовательно
