Пример1 Пример2 Пример3 Пример4 Пример5 Пример6 Пример7 Пример8 Пример9 Пример10 Пример11 Пример12 Пример13 Пример14
1.
,
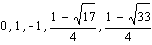
Ответ:
![]()
2.
![]()
Ответ:
![]()
3.
![]()
Ответ:
![]()
4.
![]()
Ответ:
![]()
5.
![]()
Ответ:
![]()
![]()
6.
![]()
Ответ:
![]()
![]()
7.
![]()
Ответ:
![]()
8.
![]()
Ответ:
![]()
9.
![]()
Ответ:
![]()
![]()
![]()
10.
Найти наибольшее значение х из промежутка
, удовлетворяющее уравнению:
![]()
Ответ: p
/2
11.
Найти сумму корней уравнения ![]()
расположенных на отрезке
![]()
Ответ: ![]()
12.
Найти решения уравнения ![]()
удовлетворяющие условию
![]()
Ответ:
![]()
13.
Найти решения уравнения ![]()
удовлетворяющие условию
![]()
Ответ:
![]()
14.
Найти решения уравнения (1+2cos2x)sinx+(1-2cos2x)cosx=0
удовлетворяющие неравенствам
![]()
Ответ:-7p
/12,13p /12