Соотношения между функциями одного и того же
аргумента.
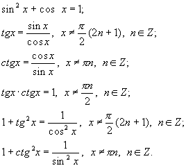
По значению одной из тригонометрических функций некоторого аргумента можно, используя приведенные ниже формулы, найти значения всех остальных. Однако главное состоит в том, применение этих формул значительно сокращает и упрощает процесс тригонометрических преобразований.

(Здесь и в дальнейшем запись
nÎ Z означает, что n – любое целое число).