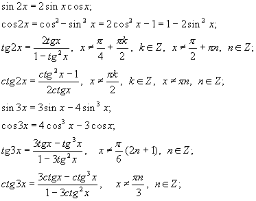
Формулы двойных и тройных аргументов.