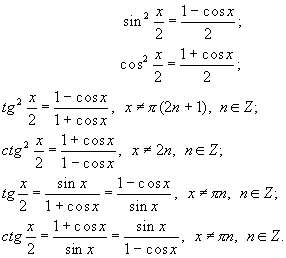
Формулы половинного аргумента.