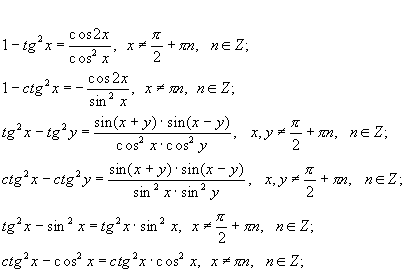
Первая страница списка тригонометрических формул