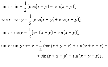
Формулы преобразования произведения

тригонометрических функций в сумму.