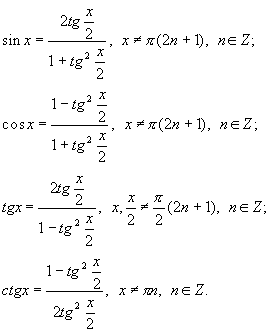
Формулы, выражающие тригонометрические функции

через тангенс половинного аргумента.