Указание
При решении таких уравнений применяют чаще всего следующие методы: а) раскрытие модуля; b) возведение обеих частей уравнения в квадрат; с) разбиение на промежутки.
Пример
2.4.1. Решить уравнение![]()
Решение
а) Так как по определению

![]()
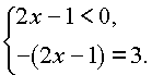
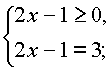
то исходное уравнение равносильно следующей совокупности двух смешанных систем:
|
|
|
Из первой системы этой совокупности находим
x = 2, а из второй x = –1.b) Так как обе части исходного уравнения – выражения одинаковых знаков, то оно равносильно следующему уравнению:
|
|
или |
|
Решая последнее уравнение, находим те же корни.
Ответ:
–1; 2.