Пример
2.4.2. Решить уравнение![]()
Решение
Нанесем на числовую прямую значения
x, которые обращают в нуль выражения, находящиеся под знаком модуля, т.е. x = –4 и x = 3. Числовая прямая при этом|
разобьется на следующие промежутки: |
|
|
|
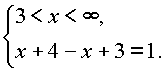
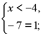
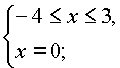
На каждом из этих промежутков будем решать уравнение, эквивалентное исходному, но не содержащее знака абсолютной величины, т.е. решим равносильную исходному уравнению следующую совокупность смешанных систем:
|
|
|
|
|
или |
|
|
|
Решений первая и третья системы не имеют, а вторая система имеет решение
x = 0. Объединяя решения этих трех систем, получаем решение исходного уравнения: x = 0.