L
Решить уравнения:|
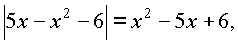
1.2.1. |
|
|
|
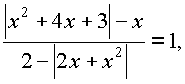
1.2.2. |
|
|
|
1.2.3. |
|
|
|
1.2.4. |
|
|
|
1.2.5. |
|
|
|
1.2.6. |
|
|
|
1.2.7. |
|
|
|
1.2.8. |
|
|
|
1.2.9. |
|
|
|
1.2.10. |
|
|
J