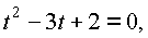
Пример 2.7.4. Решить уравнение

Решение

Вводя новую переменную

и решая квадратное уравнение

получаем:

и

Проверка подтверждает наличие этих же корней у данного уравнения.

Ответ: 3; 5.