Указания
Уравнение вида
![]()
равносильно совокупности уравнений:
|
|
где ti – корни уравнения f(t) = 0. |
Уравнение вида
![]()
равносильно совокупности уравнений:
|
|
где ti – корни уравнения f(t) = 0. |
Пример
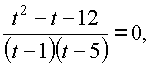
2.7.5. Решить уравнение
Решение
|
Обозначив |
|
и проделав несложные преобразования, |
получим следующее уравнение

корнями которого являются
t = –3 и t = 4.|
Тогда |
|
и |
|
а это значит, что |
|
и |
x
= 17 есть корни исходного уравнения (всем требованиям они удовлетворяют).Ответ:
9/8; 17.