Пример
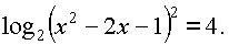
2.7.7. Решить уравнение![]()
Решение
|
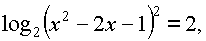
Обозначая |
|
получим уравнение |
|
корнями которого являются
y1 = 2, y2 = 4. Отсюда исходное уравнение будет эквивалентно совокупности следующих двух уравнений|
1) |
|
2) |
|
Используя свойство логарифмов под номером 5 и замечания к нему в примере
2.7.6, получим|
1) |
|
2) |
|
|
Решая эти уравнения, получим следующие корни |
|
|
x
5 = 3, а проверка подтверждает, что все эти корни являются решениями и исходного уравнения.|
Ответ: |
|