Пример
2.7.8. Решить уравнение![]()
Решение
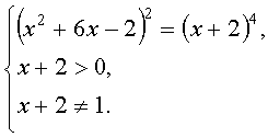
Исходное уравнение равносильно следующей системе

Первое уравнение этой системы можно было бы решать непосредственным возведением обеих его частей в указанную степень с дальнейшим приведением подобных. Но от необходимости решения кубического уравнения нам не уйти. Хорошо, если среди делителей свободного члена кубического уравнения
|
|
есть его очевидный корень (очевидно решение), |
тогда решить квадратное уравнение не составляет особого труда.
|
|
т.е. |
|
Проверка убеждает в том, что все три корня удовлетворяют исходному уравнению и всем требованиям эквивалентной системы.
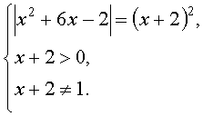
Можно было бы исходное уравнение заменить и следующей системой, не требующей умения решать уравнения степени, большей двух

Далее решаем два квадратных уравнения
|
а) |
|
b) |
|
|
первое из которых дает x1 = 3, а второе |
|
Но самым целесообразным решением нам представляется следующее.
Первое уравнение полученной системы можно переписать так

|
или |
|
Отсюда получаются все ранее указанные корни.
|
Ответ: 3; |
|