L
Решить уравнения:|
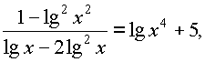
2.7.1. |
|
|
|
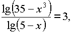
2.7.2. |
|
|
|
2.7.3. |
|
|
|
2.7.4. |
|
|
|
2.7.5. |
|
|
|
2.7.6. |
|
|
|
2.7.7. |
|
|
|
2.7.8. |
|
|
|
2.7.9. |
|
|
|
2.7.10. |
|
|
|
2.7.11. |
|
|
|
2.7.12. |
|
|
|
2.7.13. |
|
|
|
2.7.14. |
|
|
|
2.7.15. |
|
|
|
2.7.16. |
|
[решений нет]. |
|
2.7.17. |
|
|
|
2.7.18 |
|
|
|
2.7.19. |
|
|
|
2.7.20. |
|
|
|
2.7.21. |
|
|
|
2.7.22. |
|
|
|
2.7.23. |
|
|
|
2.7.24. |
|
|
|
2.7.25. |
|
|
J