2.7.
Логарифмические уравнения@
Будем рассматривать такие уравнения, в которых логарифм содержится некоторым образом, а неизвестная величина находится либо в основании логарифма, либо под знаком логарифма. Простейшее логарифмическое уравнение![]()
с множеством допустимых значений x >
0 имеет решение![]()
Логарифмическое уравнение, в котором под знаком логарифма стоит некоторая функция f
(x),![]()
имеет множество допустимых значений
x, задаваемых неравенством f(x) > 0, и эквивалентно уравнению![]()
Как правило, логарифмические уравнения решаются с использованием основных свойств логарифмов, сводящих решение уравнения к решению простейших логарифмических уравнений, потенцированию и введению вспомогательного неизвестного.
|
1. |
|
|
|
|
|
|
|
2. |
|
|
|
|
|
|
|
3. |
|
|
|
|
|
|
|
4. |
|
|
|
|
|
|
|
5. |
|
|||||
|
6. |
|
|
|
|
|
|
|
7. |
|
|
|
|
|
|
|
8. |
|
|
|
|
|
|
|
9. |
|
|
|
|
|
|
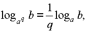
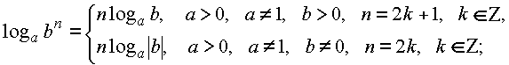
Формулы 3 и 4 допускают обобщения соответственно:
|
|
|
|
|
|
|
|
|
|