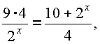
Пример 2.6.1. Решить уравнение

Решение

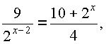
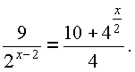
Обозначая 2x = t >0, получим

откуда имеем t = 8, t = –18 (не удовлетворяет условию).

Следовательно, 2x = 8, x = 3.

Ответ: 3.