Указание
@
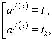
Уравнения вида![]()
|
где |
|
|
т.е. a и b – взаимно обратные положительные |
числа, можно решать, используя следующую замену переменной
![]()
Тогда получим
![]()
Решение этого уравнения сводится к совокупности уравнений

если
t1 и t2 – корни квадратного уравнения.Пример
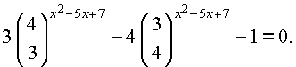
2.6.3. Решить уравнение
Решение
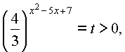
|
Обозначая |
|
будем иметь |
![]()
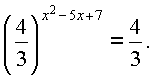
откуда
t = 4/3, t = –1 (не удовлетворяет условию).|
Следовательно, |
|
|
Откуда имеем |
|
![]()
x =2, x = 3.
Ответ: 2; 3.