Указание
|
@ Показательные уравнения, содержащие выражения вида |
|
удобно решать, используя формулу
![]()
|
если обе функции f(x) и |
|
определены и, кроме того, f(x) > 0. |
Пример
2.6.4. Решить уравнение![]()
Решение
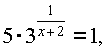
После тождественных преобразований получим
|
|
|
|
|
|
|
|
|
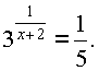
Последнее уравнение равносильно уравнению
![]()
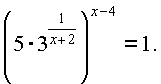
Решая показательное уравнение, получим
![]()
|
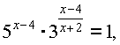
Откуда x – 4 = 0 или |
|
Первое уравнение имеет корень
x = 4. Решая второе уравнение, получим

Логарифмируя обе части уравнения по основанию 3, будем иметь
|
|
|
|
|
Ответ: |
|