L
Решить уравнение:|
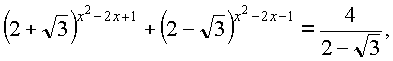
2.6.1. |
|
|
|
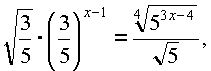
2.6.2. |
|
|
|
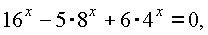
2.6.3. |
|
|
|
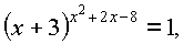
2.6.4. |
|
|
|
2.6.5. |
|
|
|
2.6.6. |
|
|
|
2.6.7. |
|
|
|
2.6.8. |
|
|
|
2.6.9. |
|
|
|
2.6.10. |
|
|
|
2.6.11. |
|
|
|
2.6.12. |
|
|
|
2.6.13. |
|
|
|
2.6.14. |
|
|
|
2.6.15. |
|
|
|
2.6.16. |
|
|
|
2.6.17. |
|
|
|
2.6.18. |
|
|
|
2.6.19. |
|
|
|
2.6.20. |
|
|
|
2.6.21. |
|
|
|
2.6.22. |
|
|
|
2.6.23. |
|
|
|
2.6.24. |
|
|
|
2.6.25. |
|
|
J