Указание
@
В более общем случае для уравнения|
|
|
|
если |
|
|
|
удобно пользоваться следующей заменой |
||
|
переменной |
|
что приводит к решению квадратного уравнения. |
||||
Пример
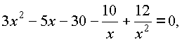
2.3.4. Решить уравнение![]()
Решение


|
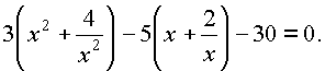
Полагая |
|
получим |
![]()
![]()
Решая квадратное уравнение, найдем его корни
|
|
|
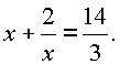
Возвращаясь к исходному неизвестному, получим совокупность двух уравнений
|
|
или |
|
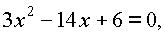
Решая первое уравнение, получим
![]()
|
|
|
Решая второе уравнение, получим
![]()

|
Ответ: –2; –1; |
|
|