Указание
@
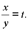
Однородные уравнения k–й степени относительно двух неизвестных x и y также|
удобно решать, используя метод введения новой переменной, полагая |
|
Пример
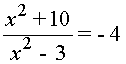
2.3.5. Решить уравнение![]()
Решение
|
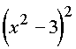
Разделив почленно обе части уравнения на |
|
|
не являются корнями данного уравнения) и сделав замену
|
|
получим |
![]()
Корнями этого уравнения являются
t = –4 и t = 2.Откуда
|
|
или |
|
|
Решая первое уравнение |
|
или |
|
|
|
получим |
|
|||
|
Решая второе уравнение |
|
или |
|
получаем |
![]()
|
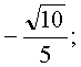
Ответ: –4; |
|
|
4. |