Указание
@
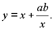
Уравнение вида![]()
где
ab = cd, сводится к решению совокупности двух квадратных уравнений, используя симметризацию
Пример
2.3.8. Решить уравнение![]()
Решение
Перепишем уравнение в виде
![]()
|
Так как |
|
то, перемножив в левой части полученного уравнения |
первую и вторую, а также третью и четвертую скобки, получим
.
Поскольку
x = 0 не является корнем данного уравнения, поделим обе его части на x2. При этом получим|
|
равносильное данному. |
|
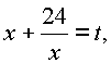
Пусть |
|
тогда |
![]()
![]()
Решая это квадратное уравнение, получим
t
= 9, t =12.Откуда

|
Квадратное уравнение |
|
действительных корней не имеет. |
|
Квадратное уравнение |
|
имеет два корня |
|
![]()
|
Ответ: |
|