Указание
@
Уравнения вида![]()
также можно решать, используя метод введения вспомогательной переменной

Пример
2.3.9. Решить уравнение![]()
Решение
|
Обозначая |
|
тогда x = t – 4. |
Подставляя в исходное уравнение
t – 4 вместо x, получим![]()
![]()
![]()
![]()
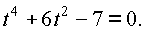
Пусть
t2 = z > 0, тогда![]()
z
= – 7, z = 1.|
Имеем t2 = 1, откуда |
|
Окончательно получим
x
= –1 –4 = –5, x = 1 – 4 = –3.Ответ: –5; –3.
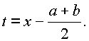
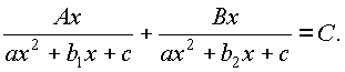
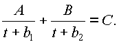
Указание
@
Уравнения вида
|
где |
|
|
заменой переменной |
|
сводятся к решению уравнения

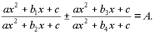
Указание
@
Уравнения вида
а также уравнения вида

|
где |
|
|
решаются аналогично. |