L
Решить уравнения:|
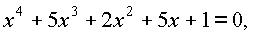
2.3.1. |
|
|
|
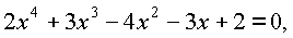
2.3.2. |
|
|
|
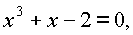
2.3.3. |
|
|
|
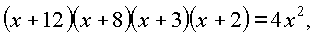
2.3.4. |
|
|
|
2.3.5. |
|
|
|
2.3.6. |
|
|
|
2.3.7. |
|
|
|
2.3.8. |
|
|
|
2.3.9. |
|
|
|
2.3.10. |
|
|
|
2.3.11. |
|
|
|
2.3.12. |
|
|
|
2.3.13. |
|
|
|
2.3.14. |
|
|
|
2.3.15. |
|
|
|
2.3.16. |
|
|
|
2.3.17. |
|
|
|
2.3.18. |
|
|
|
2.3.19. |
|
|
|
2.3.20. |
|
|
|
2.3.21. |
|
|
|
2.3.22. |
|
|
|
2.3.23. |
|
|
|
2.3.24. |
|
|
|
2.3.25. |
|
|
|
2.3.26. |
|
|
|
2.3.27. |
|
|