Уравнения
В алгебре рассматриваются два вида равенств – тождества и уравнения.
Тождество
– это равенство, которое выполняется при всех (допустимых) значениях входящих в него букв.Уравнение
– это равенство, которое выполняется лишь при некоторых значениях входящих в него букв.Буквы, входящие в уравнение, могут быть неравноправными: одни могут принимать все свои допустимые значения, которые называют
коэффициентами (иногда – параметрами) уравнения, другие, значения которых требуется отыскать, называют неизвестными данного уравнения (как правило, их обозначают последними буквами латинского алфавита x, y, z, u, v, w, или теми же буквами, снабженными индексами: x1, x2, ... xn или y1, y2...yn и т.д.)В зависимости от числа неизвестных уравнение называют уравнением с одним, двумя и более неизвестными. Значения неизвестных, обращающие уравнение в тождество, называют решениями уравнения. Уравнение считается решенным, если найдены все его решения или показано, что уравнение решений не имеет. Значение переменной, при подстановке которого в уравнение с одним неизвестным получается верное равенство, называется корнем этого уравнения. Задача “решить уравнение” – наиболее часто встречаемая задача. Обычно схема решения уравнений заключается в том, что
с помощью тех или иных преобразований исходное уравнение сводится к более простому уравнению, которое мы умеем решать. Несколько уравнений с одной переменной образуют совокупность уравнений, если ставится задача об отыскании всех таких значений переменной, каждое из которых удовлетворяет по крайней мере одному из заданных уравнений. Решением совокупности уравнений является объединение множеств корней уравнений, составляющих данную совокупность.В дальнейшем, не оговаривая этого каждый раз, мы будем находить только действительные решения.
Уравнения, имеющие одни и те же корни, называются
равносильными (в частности, оба уравнения могут и не иметь корней).Если каждый корень уравнения
f(x) = g(x) является в то же время корнем другого уравнения f1(x) = g1(x), полученного с помощью некоторых преобразований из исходного уравнения, то последнее уравнение называют следствием исходного уравнения.Если каждое из двух уравнений является следствием другого из них, то такие уравнения являются
равносильными (эквивалентными).Если при выполнении преобразований уравнение
f(x) = g(x) свелось к уравнению f1(x) = g1(x), некоторые корни которого не являются корнями уравнения f(x) = g(x), то эти корни уравнения f1(x) = g1(x) называют посторонними корнями уравнения f(x) = g(x).Если при выполнении преобразований уравнение
f(x) = g(x) свелось к уравнению f1(x) = g1(x), причем некоторые корни уравнения f(x) = g(x) не являются корнями уравнения f1(x) = g1(x), то в этом случае говорят о потере корней. Поэтому важно знать, какие из преобразований сводят исходное уравнение к равносильному, какие приводят к уравнению – следствию, а какие – к потере корней.Посторонние корни, возникшие в процессе преобразований, можно выявить проверкой. Конечно, если все преобразования приводили нас к цепочке равносильных уравнений, то проверка необязательна. Однако этого не всегда можно добиться, легче следить за тем, чтобы каждое уравнение цепочки являлось следствием предыдущего, т.е. чтобы не происходила потеря корней. В этом случае проверка является элементом решения. Следует отметить, что часто легче сделать проверку, чем обосновать то, что в ней нет необходимости. Кроме того, проверка является средством контроля правильности проделанных вычислений. Иногда полезно поступать так: на каждом этапе решения
уравнения определять промежутки, в которых могут находиться корни уравнения. Все корни, не принадлежащие этим промежуткам, являются посторонними и должны быть отброшены. Однако остальные корни всё равно необходимо проверить подстановкой в исходное уравнение.@
Приведем основные приемы, которые применяются при решении уравнений, сформулированные в виде следующих утверждений.|
1. Если к обеим частям уравнения f(x) = g(x) прибавить одно и то же выражение |
|
|
|
которое имеет смысл при всех x из области определения уравнения |
f
(x) = g(x), то получится уравнение|
|
, равносильное данному. Уравнения |
|||
|
|
и |
|
равносильны. |
|
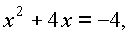
Следует заметить, что в первом утверждении речь идет только об одном преобразовании – прибавлении к обеим частям уравнения одного и того же выражения. Приведение подобных членов (если оно возможно) – это новое преобразование уравнения, которое может привести к уравнению, неравносильному исходному. Так, если к обеим частям
|
уравнения |
|
прибавить |
|
|
|
то получится уравнение |
|
|||
равносильное исходному. Однако, если в последнем уравнении выполнить
|
приведение подобных членов, то получится уравнение |
|
неравносильное исходному, ибо значение
x = –2 является корнем последнего уравнения, но не является корнем исходного уравнения.|
Уничтожение в обеих частях заданного уравнения выражения |
|
привело к расширению области определения уравнения, в результате чего могли появиться посторонние корни.
2. Если обе части уравнения f(x) = g(x) умножить или разделить на
|
одно и то же выражение |
|
которое имеет смысл при всех |
значениях
x из области определения данного уравнения и нигде в этой области определения не обращается в нуль, то получатся уравнения|
|
или |
|
равносильные данному. |
Следует заметить, что в этом утверждении речь идет об одном преобразовании – умножении (или делении) обеих частей уравнения на одно и то же выражение. Последующее же сокращение дроби (если оно возможно) – это новое преобразование уравнения, которое может привести к уравнению, неравносильному исходному. Так,
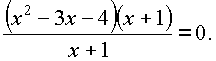
|
если обе части уравнения |
|
умножить на |
|
||||
|
то получится равносильное ему уравнение |
|
Если |
|||||
|
же теперь в левой части этого уравнения выполнить сокращение на x + 1, то |
|||||||
|
получится уравнение |
|
неравносильное данному, т.к. значение |
|||||
|
x = –1 является корнем последнего уравнения и не является корнем исходного |
|||||||
|
уравнения. Это произошло в результате расширения области определения исходного |
|||||||
|
уравнения (при сокращении на множитель x + 1). |
|||||||
|
3. Если обе части уравнения f(x)=g(x), где |
|
при всех x из |
|||
|
области определения уравнения, возвести в одну и ту же натуральную степень n, |
|||||
|
то получится уравнение |
|
равносильное данному. |
|||
|
Замечание : если n – нечетное число, то в нашем утверждении условие |
|||||
|
|
можно опустить. |
||||
Освобождение от знака корня (если оно возможно) – это новое преобразование уравнения, которое может привести (как в первых двух утверждениях) к расширению области определения уравнения, а потому и к уравнению, неравносильному данному.
При решении уравнений приходится также применять преобразования, не оговоренные в первых трех утверждениях, т.е. такие преобразования, которые могут привести к появлению посторонних корней или даже к потере корней. Основной причиной в этом случае являются преобразования, выполняемые с помощью формул, изменяющих области определения уравнения.
Таковы, например, формулы:
|
|
|
|
|
|
|
|
|
|
|
|
|
|
и др. |