Типичный пример задач однофакторного анализа - сравнение по достигаемым результатам нескольких различных способов действия, направляемых на достижение одной цели, скажем, нескольких школьных учебников или нескольких лекарств. Фактор - то, что должно оказывать влияние на конечный результат (методика преподавания, дополнительные занятия, предвыборная компания и т.п.). Уровень фактора или способ обработки - конкретная реализация фактора (часто имеет прямое толкование: например, если фактором является агротехнический прием). Отклик - значения измеряемого признака, т.е. величина результатата (успеваемость, тестовые баллы, экспертные оценки, число правильных ответов, урожайность и т.п.). Заметим, что чаще всего шкала отклика является ранговой, т.е. про полученные числовые значения в лучшем случае можно сказать, что одно число больше или меньше другого (особенно это заметно в пятибальной системе оценки успеваемости).
Рассмотрим простейший случай: сравнение двух выборочных совокупностей, например, экспериментальной и контрольной групп, или одной группы до и после обработки. Нас сейчас интересует сравнение двух любых методов обработки: двух лекарств, двух рационов питания, двух методик обучения или профессиональной подготовки и т.п.
Для исследования нужны однородные объекты, разделенные на две группы. Взаимные влияния и взаимодействия объектов должны быть исключены. Для каждого объекта регистрируется некоторая его числовая характеристика. Возникающие при этом две группы чисел можно рассматривать как две независимые выборки.
Прежде чем воспринимать эти числа как факт и основание для вывода, опять следует вспомнить о возможности случайности отличий и отсутствия значимых различий в числах этих двух выборок. Поэтому опять придется выдвинуть статистическую гипотезу об отсутствии эффекта обработки, или нулевую гипотезу
.В зависимости от конкретной ситуации назначим уровень значимости
a - вероятность ошибочно отвергнуть правильную нулевую гипотезу, или р=1-a - доверительную вероятность. Например, a =0,003 (или 0,3%) означает риск ошибиться в 3 случаях из 1000.Мы уже обсуждали логику проверки подобных статистических гипотез. Гипотеза отвергается, если в эксперименте наблюдается явление, чья вероятность по гипотезе мала (равна
a ). Выясним, что же это за явление в данном случае.Пусть в первой выборке N
1 чисел, во второй N2 чисел. Расположим N1+N2 чисел из двух выборок в порядке возрастания и порядковый номер числа назовем его рангом. Если несколько чисел совпадают по величине, то каждому из них присваивается ранг, равный среднему арифметическому их номеров. Заметим, что последнее число в (порядке возрастания) должно иметь ранг N1+N2.Обозначим R
1 - сумма рангов первой выборки, R2 - сумма рангов второй выборки. Заметим, что при больших объемах выборки N1 и N2 (практически N1>8 и N2>8) по центральной предельной теореме случайные числа R1 и R2 подчиняются нормальному закону. Поэтому если вычислить два числа

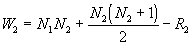
(причем для проверки: W
1· W2=N1· N2)Затем найти среди них минимальное (обозначим его W) и вычислим число,

то можно доказать, что оно подчиняется Z - закону Гаусса (см. рис.1). Вспомним, например, что правило “трех
s ” для закона Z , можно сказать, что при s =0,003 величинаЅ Z Ѕ і 3. Следовательно нулевая гипотеза отклоняется при s =0,003, если Ѕ Z Ѕ і 3; или при s =0,05 если Ѕ Z Ѕ і 2; или при s =0,3 еслиЅ Z Ѕ >1. В противном случае числа из выборок не дают основания утверждать, что способ обработки оказывает вообще какое-либо действие.Заметим, что при других уровнях значимости
a величину критического значения |Z| необходимо брать из таблиц распределения Гаусса в статистических справочниках и учебниках.Если объемы выборок малы (практическиN
1Ј 8 или N2Ј 8), необходимо использовать критерий Вилкоксона, Манна и Уитни, который здесь не рассматривается.Рассмотрим пример. Изучается уровень ориентации учеников на художественно-эстетические ценности, сформированы экспериментальная и контрольная группы. В экспериментальной группе проводились беседы, выставки рисунков, посещались музеи и картинные галереи, проводились встречи с музыкантами, художниками. Какова же эффективность проведенной работы? С целью проверки эффективности в этих двух группах давался тест, баллы которого приводятся в следующей таблице:
|
ученики |
1 |
2 |
3 |
4 |
5 |
6 |
7 |
8 |
9 |
10 |
11 |
12 |
|
контрольная группа (баллы) |
50 |
41 |
48 |
60 |
46 |
60 |
51 |
42 |
62 |
54 |
42 |
46 |
|
экспериментальная группа (баллы) |
38 |
40 |
47 |
51 |
63 |
50 |
63 |
57 |
59 |
51 |
- |
- |
Упорядочим все полученные учениками баллы по возрастанию, отмечая чертой сверху принадлежность к первой группе:
|
баллы |
38 |
40 |
41 |
42 |
42 |
46 |
46 |
47 |
48 |
50 |
|||||||||||
|
ранги |
1 |
2 |
3 |
4,5 |
4,5 |
6,5 |
6,5 |
8 |
9 |
10,5 |
|||||||||||
|
|
|
|
|
|
|
|
|
|
|
|
|
||||||||||
|
50 |
51 |
51 |
51 |
54 |
57 |
59 |
60 |
60 |
62 |
63 |
64 |
||||||||||
|
10,5 |
13 |
13 |
13 |
15 |
16 |
17 |
18,5 |
18,5 |
20 |
21,5 |
21,5 |
||||||||||
Найдем суммы рангов: R
1=129,5 и R2=123,5. Заметим, что N1=12 и N2=10 Получим:

минимальное из которых W=51,5
Вычисляем число
Z :
Следовательно
Ѕ Z Ѕ =0,56 и нулевая гипотеза о полной бесполезности проведенной работы не может быть отброшена ни при a =0,003, ни при a =0,05, ни при a =0,3, так как полученное значение |Z| меньше и 3, и 2, и 1.Однако при
a =0,5 нулевую гипотезу уже можно отвергнуть, т.е. с риском ошибиться в половине случаев можно утешиться, что польза от занятий все-таки есть. Повторимся, что когда выбор уровня значимости a не совсем ясен, для устранения произвола необходимо указать минимальный уровень значимости, на котором можно отвергнуть гипотезу.