Районные олимпиады по математике 1997-1998 г 11 класс

Решения

  1. Умножить и разделить данные числа на сопряженные им.
  2. Учесть подобие треугольников ASD и BSD, а также BOC и AOD.
  3. Из условий следует, что [х] может быть равной лишь -1; 0 и +1. Ответ: [0;1]U{}.
  4. Сравнить данное произведение с произведением , а также их перемножить.
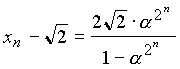
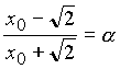
  5. Рассмотреть

Положить , тогда и учтя что , придем к требуемой оценке.


Internet-school | Олимпиады | Условия