Районные олимпиады по математике 1997-1998 г 11 класс

Задания

  1.  Доказать, что последовательность xn= является убывающей.
  2. Боковые стороны AB и CD трапеции ABCD продолжены до их пересечения в точке S. Через точку пересечения О диагоналей трапеции проведена прямая SO пересекающая BC в точке Х, а AD - в точке Y. Доказать, что отношение длин SX и SY равно отношению длин ОХ и OY.
  3. Решите двойное неравенство:
  4. .

  5. Доказать, что .
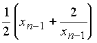
  6. Доказать, что если х0 > и хn = при n > 1, то


Internet-school | Олимпиады | Ответы и указания к решению