Известно, что все три медианы треугольника пересекаются в одной точке, причем эта точка делит каждую из них в отношении 2 : 1, считая от вершины.
Пример 6.4.1. (КубГУ, матем., 1979 г.)
В выпуклом четырехугольнике ABCD расстояние между точками пересечения медиан треугольников ABD и BCD равно a. Определить AC.
|
Пусть M и N – точки пересечения медиан в треугольниках ABD
и BCD соответственно и K – середина отрезка BD. Тогда |
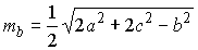
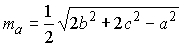
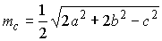
Для нахождения медианы треугольника по трем его сторонам удобно использовать рассуждения при решении типовой задачи из примера 6.2.7 а).
@
![]() |
|
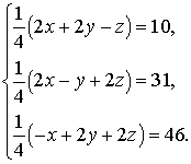
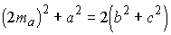
Определить стороны треугольника, если его медианы равны
и
.
Полагая в предыдущих трех равенствах
,
и
, после
возведения обеих частей в квадрат получим

Решая систему линейных уравнений, найдем x = 16, y = 36 и z = 64, а значит стороны треугольника равны 4; 6 и 8.
Ответ: 4; 6 и 8
.
@При
решении задач, в которых упоминается медиана треугольника, часто достраивают
треугольник до параллелограмма так, чтобы медиана была половиной диагонали.
|
Так как в параллелограмме сумма квадратов всех его сторон равна сумме квадратов
диагоналей, то |
Доказать, что три данных отрезка могут быть медианами некоторого треугольника тогда и только тогда, когда из них можно составить треугольник.
Указание: при выполнении этого задания следует учесть, что для любого треугольника ABC можно составить треугольник BHP из его медиан как указано на рисунке, а по треугольнику из медиан BHP можно восстановить треугольник ABC.

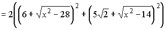
Пример 6.4.4. (КубГУ, матем., 1986 г.)
Длина медианы BK остроугольного треугольника ABC равна 8
см. Длины ортогональных проекций этой медианы на стороны AB
и BC равны 6 см и
см соответственно. Найти длину стороны AC.
Пусть AK = BK = x (см. рисунок).
По теореме Пифагора имеем
а значит
и
.
|
Так как сумма квадратов диагоналей параллелограмма ABCD равна сумме
квадратов всех его сторон, то получаем уравнение .
После преобразований имеем |
@Перейдем
к рассмотрению биссектрис треугольника. Известно, что все биссектрисы внутренних
углов треугольника пересекаются в одной точке, которая является центром
окружности, вписанной в треугольник. Имеет место следующая теорема.
|
Основание биссектрисы внутреннего угла треугольника делит его сторону на части, пропорциональные прилежащим сторонам, т.е. согласно имеющемуся рисунку |
а) существует t такое, что
и
;
б) существует k такое, что
и
.
Докажите эту теорему, используя теорему синусов.
Пример 6.4.5.
Найти биссектрису угла B треугольника ABC и определить, в каком отношении центр вписанной в треугольник окружности делит эту биссектрису, если AB = 4, BC = 5 и AC = 6.
|
Пусть BD и AK – биссектрисы углов B и A треугольника
ABC и O – центр вписанной
окружности.
Так как AB = 4 и BC = 5, то по теореме о биссектрисе AD = 4t и CD = 5t, поэтому AC = 6 = 4t + 5t, т.е. |
и
,
т.е. И, наконец, определим по теореме о биссектрисе из треугольника BAD, в каком отношении точка O делит отрезок BD:
.Ответ:
и
.
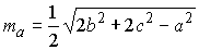
@Полезной и легко запоминаемой является формула
|
а также отношения,
которые позволяют установить, как точка пересечения биссектрис делит биссектрису
.
|
Биссектриса угла, меньшего 180°, – это геометрическое место точек, равноудаленных от сторон этого угла, а также это геометрическое место точек – центров окружностей, вписанных в этот угол.
Пример 6.4.6.
В треугольнике ABC известно, что AB = 4, BC = 5
и
. Центр
O окружности, вписанной в угол B, лежит на стороне AC.
Найти BO.
![]() |
Ясно, что BO – биссектриса угла B.
По теореме косинусов находим Далее, как и в примере 6.4.5. находим |
Пример 6.4.7. (КубГУ, физич., 1975 г.)
Найти биссектрисы острых углов в прямоугольном треугольнике, катеты которого равны 6 и 8 см.
![]() |
Пусть ABC – прямоугольный треугольник, у которого AB = 6,
BC = 8, РB
= 90 °, P и H – основания
биссектрис углов C и A соответственно. Тогда по теореме Пифагора По теореме о биссектрисе BP = 8t и Pa = 10t , откуда AB = AB = 6 = 8t + 10t и Поэтому .
Аналогично находим |