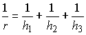
Во всякий треугольник можно вписать и притом только одну окружность, причем центр ее совпадает с точкой пересечения биссектрис внутренних углов треугольника.
Для нахождения радиуса r вписанной окружности в треугольник с площадью
S и полупериметром p обычно используют формулу
.
Пример 6.5.1.
Доказать, что если
,
и
– высоты треугольника
и r – радиус вписанной
в это треугольник окружности, то
.Указание: доказательство следует из выше приведенной формулы для радиуса r, а также из соотношений, связывающих площадь, высоты и соответствующие им стороны треугольника.
Пример 6.5.2.
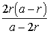
В сектор круга радиуса R с центральным углом a вписан другой круг. Найти радиус вписанного круга.
|
Пусть в сектор ABC с углом B, равным a,
и AB = BC = R вписана окружность. Проведем к этой окружности касательную
в точке H параллельно AC так, чтобы окружность оказалась
вписанной в треугольник MBP, где M и P – точки пересечения
касательной с лучами BA и BC. Ясно, что DABC
подобен DMBP.
Так как BH = R и . |
В силу
находим
и полупериметр треугольника ABC равен
Откуда получаем
,
а значит окончательно получаем, что
.
Ответ:
.
@Полезной для нахождения радиуса вписанной окружности в прямоугольный треугольник с катетами a, b и гипотенузой c является формула
![]() |
где c – гипотенуза,
a и b – катеты треугольника.
Учитывая, что отрезки касательных из внешней точки к окружности равны,
получим рисунок, из которого видно
|
В прямоугольном треугольнике радиус вписанной окружности равен r и один из катетов равен a. Найти другой катет.
Пусть b – другой катет и c – гипотенуза. Тогда согласно предыдущей
формуле a + b = 2r + c, т.е. c = a + b - 2r.
По теореме Пифагора
Ответ:
.
@ Когда
речь идет о радиусе вписанной окружности в равнобедренный треугольник,
полезными являются следующие два соображения:
1)
|
O
– центр вписанной окружности в DABC,
O – высота, РA
= РC
= a.
Тогда |
2)
![]() |
O – центр вписанной окружности в DABC, AB = BC, M и P – точки касания окружности со сторонами AB и BC, BH – высота, D – точка пересечения отрезков MP и BH. Ясно, что MD = DP. Оказывается , что если РA = a, то и РMOD = a (острые углы с взаимно перпендикулярными сторонами), т.е. DABH подобен DOMD и MD = r sin a. |
Пример 6.5.4.
(КубГУ, матем., 1989
г.)
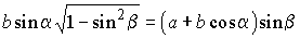
В параллелограмме ABCD сторона AD имеет длину 6 см.
Биссектриса угла ADC пересекает прямую AB в точке E.
В треугольник ADE вписана окружность, касающаяся стороны AE
в точке K и стороны AD в точке H. Длина отрезка KH
равна 3 см. Найти величину угла BAD.
|
По свойству параллельных прямых углы AED и EDC равны как внутренние накрест лежащие при параллельных прямых AB и CD и секущей DE. Но DE – биссектриса угла ADC, поэтому РADF = РEDC. Откуда следует РADE = РAED, т.е. треугольникAED является равнобедренным. Для краткости полагаем a = РBAD = РEAD. |
|
Пусть O – центр вписанной окружности в треугольник AED, где
AE = AD, P – основание
высоты из вершины A, M
– точка пересечения AP и KH. Так как DADE
равнобедренный, то AP – биссектриса угла A, а значит
точка O лежит на AP и KM = MH , т.е. |
.
.
Откуда
.
Учитывая, что
,
имеем
.
Ранее было показано, что
,
откуда получаем уравнение
,
где
.
Полагая
,
находим
,
т.е.
.
Откуда следует
и
, а значит
.
Ответ:
.
@ Перейдем к рассмотрению окружности, описанной около треугольника. Известно, что около всякого треугольника можно описать и притом только одну окружность, причем ее центр совпадает с точкой пересечения серединных перпендикуляров к сторонам треугольника. Если центр вписанной окружности всегда лежит внутри треугольника, то центр описанной окружности около треугольника может быть внутри (треугольник остроугольный), вне (треугольник тупоугольный) и на стороне (в середине гипотенузы прямоугольного треугольника).
Одной из наиболее употребимых на вступительных экзаменах формул для нахождения радиуса описанной около треугольника окружности является
Пример 6.5.5.
AH
– высота треугольника ABC, у которого AB = 24 и
.
Найти радиус описанной окружности около треугольника ABC.

В обоих случаях
.
Откуда по формуле окончательно находим
.@ Также для нахождения радиуса описанной окружности необходимо знать стандартную формулу
где a, b, c – стороны и S – площадь треугольника.
Пример 6.5.6.
В равнобедренной трапеции боковая сторона равна 10, диагональ 17 и высота 8. Найти радиус описанной около трапеции окружности.
Пусть ABCD – трапеция, у которой AB = CD, BM
и CP – высоты.
Из треугольника ACP по теореме Пифагора находим
|
Из треугольника PCD имеем
Так как данная окружность
является описанной около треугольника ACD, то окончательно находим
|
Так как центр описанной окружности около прямоугольного треугольника лежит в середине гипотенузы, то медиана, проведенная к гипотенузе, равна радиусу описанной окружности. Это полезное соображение часто помогает упростить ход рассуждений при решении задач на прямоугольный треугольник. Проиллюстрируем это на примере.
Пример 6.5.7. (КубГУ, матем., 1994 г.)
В прямоугольном треугольнике медиана равна m и делит прямой угол в отношении 1 : 2. Найти площадь треугольника.
![]() |
Так как радиус описанной окружности около треугольника ABC равен
OC = OA = OB, то ясно, что треугольник BOA является равносторонним
и поэтому AB = OB = m, РA
= 60°.
Откуда следует . |
.
@ При решении планиметрических заданий необходимо уделять внимание построению удобного для решения чертежа. Чертеж должен быть для наглядности большим и желательно без лишних построений. Так при нахождении радиусов вписанной или описанной окружности около треугольника часто саму окружность в черновике не изображают. В этом смысле “плохим” является чертеж в примере 6.5.2.
Покажем решение одного задания без изображения окружностей.
Пример 6.5.8.
Основание равнобедренного треугольника равно 8 см, а высота, опущенная на основание, равна 3 см. Найти расстояние между центрами вписанной и описанной окружностей.
|
Пусть b – высота DABC
и AC = 8, BH = 3. Центры
вписанной и описанной окружностей лежат на прямой b (так как b
– биссектриса угла B и серединный перпендикуляр к AC).
По теореме Пифагора из DABH имеем |
.
Теперь
,
а значит,
(см).
Ответ:
см.
@ Следует отметить огромное значение при решении планиметрических заданий удачного дополнительного построения на чертеже, соответствующего условию задания. Для иллюстрации роли дополнительных построений приведем два способа решений одной задачи вступительных устных экзаменов на математический факультет в КубГУ.
Пример 6.5.9.
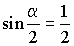
Внутри угла B, равного a (0 < a < p/2) расположена точка M, расстояния от которой до сторон угла равны a и b. Найти BM.
Пусть H и P – основания перпендикуляров из точки M на стороны угла и HM = a, PM = b.
|
Пусть РMBP
= b,
тогда РMBH
= a-b.
Из треугольников HBM и PBM имеем
Откуда получаем .
Имеем следующее равенство b(sin aЧ cos b - sin bЧcosa) = a sin b. Ввиду |
,
,
,
а значит,
. |
К построениям при решении задачи первым способом добавим следующие: проведем
отрезок HP и построим окружность с диаметром BM. Так как
РBHM
= РBPM,
то точки H и P окажутся на этой окружности. Сумма углов четырехугольника
BPMH равна 2 p,
а значит, РHMP
= p - РHBP
= p - a.
По теореме косинусов из DABC
находим
|
.
Ответ:
.