|
@
На рисунке изображено два центральных угла: величиной a,
опирающийся на дугу ACB, и величиной b,
опирающийся на дугу ADB. Говорят, что дуга ACB имеет угловую величину a,
а дуга ADB имеет угловую величину b,
и при этом пишут ИACB
= a, ИADB
= b.
Если R – радиус окружности, то длина окружности равна 2 pR.
Если a
– градусная мера угла, то длина дуги ACB равна |
Пример 6.7.1.
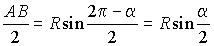
На окружности даны две дуги с угловыми величинами a и b. Найти отношение длин хорд, стягивающих эти дуги.
|
Пусть R – радиус окружности
и AB – хорда, стягивающая дугу,
величиной a.
В равнобедренном треугольнике AOB проведем
высоту (медиану и биссектрису) OC.
Из DAOC
находим
|
.
Ответ:
.
Пример 6.7.2.
Дана окружность и две ее хорды, отношения которых к диаметру окружности соответственно равны a и b. Найти отношение длин меньших дуг, стягиваемых этими хордами.
Отношение длин дуг равно
отношению их угловых величин. Поэтому достаточно определить угловые величины
меньших дуг, стягиваемых хордами.
|
Пусть R – радиус окружности,
AB – первая из рассматриваемых
хорд и OC – высота равнобедренного
треугольника с вершиной в центре окружности O.
По условию |
Ответ:
.
@ Большую
роль в решении задач по теме “Окружность” играют вписанные углы.
|
Известно, что вписанный угол равен половине угловой величины дуги, на которую
он опирается. Так как на рисунке угол ADB является вписанным, поэтому |
В окружности проведены хорды AB и AC, причем AB = 2 см, AC = 1 см, РCAB = 120° . Найти длину той хорды окружности, которая делит РCAB пополам.
|
Пусть AD
– хорда, делящая угол CAB пополам
и x – ее длина. Дуги CMD
и BND (см. рисунок) равны по
120°
, т.к. опирающиеся на них вписанные
углы CAD и BAD
равны по 60°
. Поэтому хорды CD
и BD, стягивающие равные дуги,
тоже равны. Положим CD
= BD = y. По теореме косинусов
для треугольников ACD и ABD
имеем |
Пример 6.7.4.
В треугольнике ABC точка D лежит на стороне CB, причем AB = 12, AC = 15 и AD = 10. Найти сторону BC, если известно, что окружность, описанная около треугольника ADC, касается прямой AB.
|
Ясно, что A – точка касания
окружности и прямой AB. Имеем |
@ Очень полезным в рассматриваемой теме является умение определять углы между хордами и между секущими к окружности.

На первом рисунке угол g между хордами AC и BD является внешним для треугольника DMC, а значит, равен сумме не смежных с ним углов MDC и MCD.
Так как
и
, то
окончательно получаем
.
На втором рисунке угол
g
между секущими AB и AC равен разности внешнего угла BMC треугольника AMB
и угла ABM, и поэтому
,
т.е.
.
Пример 6.7.5.
Пусть AB и CD
– непересекающиеся хорды данной окружности, причем AB
является стороной квадрата, а CD
– стороной правильного шестиугольника, вписанных в окружность.
Найти острый угол между прямыми AC
и BD.
Меньшие дуги, стягиваемые хордами AB
и CD, соответственно равны 90°
и 60° .
Выделим четыре возможных случая расположения точек A, B, C , D
на окружности:


2) В этом случае РAMB
равен полуразности угловых величин меньших дуг AB
и CD (угол между секущими),
т.е.
.
3) В этом случае РAMB
равен полусумме угловых величин меньшей дуги CD
и большей дуги AB, т.е.
,
а значит острый угол между хордами AC
и BD равен 180° - 165° =
15°.
4) В этом случае РAMB
равен полуразности угловых величин большей дуги AB и
меньшей дуги CD, т.е.
,
а значит острый угол между прямыми AC и
BD равен
180° - 105° = 75°.
Заметим, что, не ограничивая общности рассуждений, мы рассмотрели все случаи.
Ответ: 15° или 75°.
|
@
При решении задач на окружность удобно использовать равенство AM ЧMB
= CM ЧMD,
которое выполняется для любых хорд AB и CD с точкой их пересечения M. Это
равенство непосредственно следует из подобия треугольников AMC и DMB. Причем,
если точка M отстоит от центра окружности радиуса R на расстоянии, равном
d , то имеет место соотношение
Другое, но также часто используемое соотношение в конкурсных задачах, |
Хорды AB и CD данной окружности имеют длины соответственно 4 и 1. Прямые AB и CD пересекаются в точке М так, что AM= 2. Найти max(CM, DM).
![]() |
Сначала предположим, что
прямые AB и CD
пересекаются внутри окружности (рис. 1). Полагая CM = x и учитывая
BM = AB - AM = 2, имеем равенство AM ЧMB
= CM ЧMD,
т.е. 2 Ч1
= x(2 - x)
или Так как max(CM, DM) равен длине всего отрезка секущей независимо от обозначения концов меньшей хорды буквами C и D, то для определенности можем положить, что точка С лежит между точками М и D. Тогда max(CM, DM) = MD. Из точки М проведем касательную к окружности, которая касается окружности в точке К.
Из рассуждений, предшествующих примеру 6.7.6, имеем, с одной стороны, |
Ответ: 4.
Пример 6.7.7.
Из точки А к окружности радиуса R проведена касательная, которая касается окружности в точке М. Секущая, проходящая через точку А, пересекает окружность в точках К и N, причем N – середина отрезка AK, угол АМК равен N. Найти площадь треугольника АМК.
|
Проведем диаметр МТ. Тогда РKMT
= 30°
и из прямоугольного треугольника МКТ находим
Пусть AN = NK = x, тогда AK = 2x. Используя соотношение |
,
т.к. x > 0, то
,
.
.
Ответ:
.